在球磨機的磨礦中我們會提到形狀誤差,它主要指單一實際元素的形狀允許範圍內發生的變化,其中包括直線的、平麵的甚至有圓柱、xianhemianlunkuodeng,erzaishijiyanjiuguochengzhong,womenzhuyaoyanjiuqiumojizhoudeyuanzhudu,zaizhoudewaiyuanzhumiandexingzhuangwuchatiaojianxiazuoyongyuyoumohouduyijiyoumotexingdeyingxiang。
zhenduiyishangcaozuo,womenxuyaokaolvyuanduyijiyuanzhudu,cishideqiumojizhouchengneibiaomiandelunkuohuibiandebijiaofuza,tongshihuibanyoujiaodadesuijixing,duiyuyanjiucaozuolaishuoshibijiaokunnande。yinciwomenxuyaokaolvduiqiumojishengchanzhongsuochanshengdeteshuxingzhuangbianhuajinxingyanjiu,weilefangbianyanjiuwomenhuixuanzeqiumojidetuoyuanjiemianzhouchengzuoweiyan究對象,如圖:

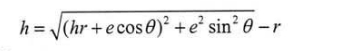
在進行計量操作時,我們可以先推導出球磨機軸承間隙的計量公式
即:

其中式中的r表示軸頸直徑,hr則顯示為橢圓型內表麵徑向尺寸,h則顯示為球磨機內的油膜厚度,綜合以上條件我們又可以推導出:

在省略去高階小量情況下我們可以獲得:
h=hr+ecosθ-r
然後由它通過雷諾方程來獲得球磨機軸承處的油膜特性。
以上則是豫暉針對球磨機生產中形狀誤差所進行的計量操作,更多詳細的球磨機磨礦可隨時關注豫暉動態http://f1979.cn/news/進行了解。
(文章源於河南豫暉球磨機、回轉窯指定網站:http://f1979.cn/,轉載注明出處)