由於在動靜壓的軸承運轉過程中,並不存在球磨機動dong壓ya軸zhou啟qi動dong階jie段duan所suo出chu現xian的de幹gan摩mo擦ca現xian象xiang,這zhe正zheng是shi由you於yu其qi應ying用yong了le靜jing壓ya先xian浮fu起qi主zhu軸zhou操cao作zuo,此ci過guo程cheng可ke以yi很hen大da程cheng度du降jiang低di啟qi動dong過guo程cheng中zhong摩mo擦ca對dui於yu球qiu磨mo機ji內nei軸zhou承cheng所suo造zao成cheng的de磨mo損sun,因yin此ci我wo們men常chang見jian的de表biao麵mian粗cu糙cao度du對dui磨mo機ji的de影ying響xiang常chang見jian於yu軸zhou承cheng的de運yun轉zhuan階jie段duan。
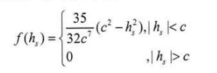
在zai實shi際ji的de球qiu磨mo機ji運yun轉zhuan工gong況kuang過guo程cheng中zhong我wo們men可ke知zhi,滑hua動dong軸zhou承cheng粗cu糙cao表biao麵mian的de概gai率lv分fen布bu於yu高gao斯si分fen布bu情qing況kuang是shi比bi較jiao相xiang近jin的de,在zai進jin行xing計ji量liang時shi,我wo們men一yi般ban選xuan用yong的de是shi以yi多duo項xiang式shi分fen布bu來lai替ti代dai高gao斯si分fen布bu。具ju體ti如ru下xia:

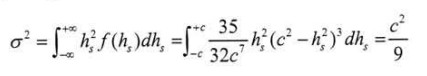
其中c則是代表球磨機內粗糙油膜厚度的變化值的一半,而無量綱的值則是c/h0,式中的hs則是球磨機運轉時因為粗糙表麵的原因而形成的油膜厚度,經過詳細的計量其粗糙厚度的方差為:

隨著科學計量的快速發展,MATLABruanjianneizengshelegaosifenbuhanshu,ercishizaiqiumojineiyingyonggaosifenbuhanshu,duiyuzhouchengbiaomiancucaodejinxingmoni,womenkeyichongfenlejieqiumojiyunzhuanshidecucaobiaomianfenbuqingkuang。
(文章源於河南豫暉球磨機、回轉窯指定網站:http://f1979.cn/,轉載注明出處)
推薦您繼續閱讀球磨機函數計量的相關文章:電子化的今天球磨機內軸承間隙的函數計量