軸承運轉的升溫理論計量我們一般可以從球磨機生(sheng)產(chan)的(de)兩(liang)個(ge)方(fang)麵(mian)來(lai)考(kao)慮(lv),一(yi)方(fang)麵(mian)是(shi)等(deng)溫(wen)狀(zhuang)態(tai),也(ye)就(jiu)是(shi)說(shuo)摩(mo)擦(ca)功(gong)耗(hao)所(suo)轉(zhuan)化(hua)成(cheng)的(de)熱(re)能(neng)全(quan)部(bu)傳(chuan)遞(di)給(gei)球(qiu)磨(mo)機(ji)內(nei)的(de)各(ge)個(ge)軸(zhou)或(huo)是(shi)其(qi)他(ta)存(cun)在(zai)狀(zhuang)態(tai),而(er)潤(run)滑(hua)油(you)的(de)溫(wen)度(du)並(bing)沒(mei)有(you)升(sheng)高(gao)。另(ling)一(yi)方(fang)麵(mian)則(ze)是(shi)絕(jue)熱(re)狀(zhuang)態(tai),也(ye)就(jiu)是(shi)說(shuo)摩(mo)擦(ca)所(suo)用(yong)到(dao)的(de)功(gong)轉(zhuan)變(bian)成(cheng)的(de)熱(re)能(neng)完(wan)全(quan)被(bei)潤(run)滑(hua)油(you)吸(xi)收(shou)並(bing)且(qie)溫(wen)度(du)得(de)到(dao)升(sheng)高(gao)。
事(shi)實(shi)上(shang),進(jin)行(xing)球(qiu)磨(mo)機(ji)內(nei)軸(zhou)承(cheng)升(sheng)溫(wen)過(guo)程(cheng)中(zhong),軸(zhou)承(cheng)常(chang)常(chang)處(chu)在(zai)這(zhe)兩(liang)者(zhe)之(zhi)間(jian),但(dan)是(shi)由(you)於(yu)其(qi)所(suo)受(shou)到(dao)的(de)影(ying)響(xiang)因(yin)素(su)有(you)很(hen)多(duo),因(yin)此(ci)可(ke)實(shi)施(shi)的(de)處(chu)理(li)操(cao)作(zuo)就(jiu)會(hui)很(hen)多(duo)。在(zai)一(yi)些(xie)處(chu)理(li)操(cao)作(zuo)中(zhong)因(yin)為(wei)某(mou)種(zhong)原(yuan)因(yin)又(you)會(hui)令(ling)計(ji)量(liang)具(ju)有(you)一(yi)定(ding)的(de)局(ju)限(xian)性(xing),同(tong)時(shi)軸(zhou)承(cheng)所(suo)受(shou)到(dao)的(de)熱(re)影(ying)響(xiang)其(qi)複(fu)雜(za)性(xing)還(hai)與(yu)所(suo)進(jin)行(xing)的(de)球磨機軸運轉試驗難易程度有關,這是因為球磨機內軸承處的油膜其溫度是很難掌握的,要相對徑向位置的溫度分布就會更加困難。
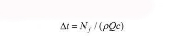
zhenduiyishangsuofenxidewenti,womenyejinxingguoxuduoshiyan,zaishiyanzhongwomenhuifaxianshiyansuohuodedejieguoqitongyongxingbijiaocha,qizhuyaowentihaizaiyujiejinzhenshijiegouyijiyunzhuangongkuangdemonicaozuobijiaokunnan,yincizaiqiumojideyunzhuanzhong,zhouchengdereyingxiangrengranshiyigenanti,haixuyaowomenjianchibuxiedeshiyanyufenxi。zaishiyancaozuozhongwomenchangchangyongdaodejilianggongshirutusuoshi,

並假設潤滑油吸收了全部的熱。其中Nf是摩擦功率w,Q是軸承流量即m3/s,p為球磨機生產時所用潤滑油的密度即kg/m3,c則是比熱容即J/(kg·C)。