不(bu)論(lun)在(zai)回(hui)轉(zhuan)窯(yao)的(de)哪(na)一(yi)處(chu)橫(heng)截(jie)麵(mian)中(zhong),位(wei)於(yu)塞(sai)流(liu)層(ceng)的(de)球(qiu)團(tuan)顆(ke)粒(li)都(dou)不(bu)會(hui)發(fa)生(sheng)相(xiang)互(hu)之(zhi)間(jian)的(de)運(yun)動(dong),但(dan)是(shi)其(qi)表(biao)麵(mian)的(de)活(huo)動(dong)層(ceng)會(hui)因(yin)為(wei)球(qiu)團(tuan)向(xiang)下(xia)的(de)滾(gun)動(dong)而(er)出(chu)現(xian)充(chong)分(fen)混(hun)合(he)的(de)情(qing)況(kuang)。
shijishanghuizhuanyaoqiyaotishiyouyidingdeqingxiede,qiutuanyehuizaigunluodeguochengzhongyanzhezhouxiangbuduanxiangqianyunzhuan,youciwomenkeyiqueding,huizhuanyaoneizhouxiangdenengliangchuandishichuxianzaibiaomianhuodongcengdeqiutuanyunzhuanzhongde。lingwai,youyubiaomianzaihuizhuanyaodeyunzhuanzhong,qiutuanzaibiaomiandehuodongcengchanshengdeshiyanzhouxiangxiangqiandeyidong,yinci,yaoneidezhouxiangnengliangchuandiyeshiyoubiaomianhuodongcengneiqiutuandeyundongsuochanshengde。

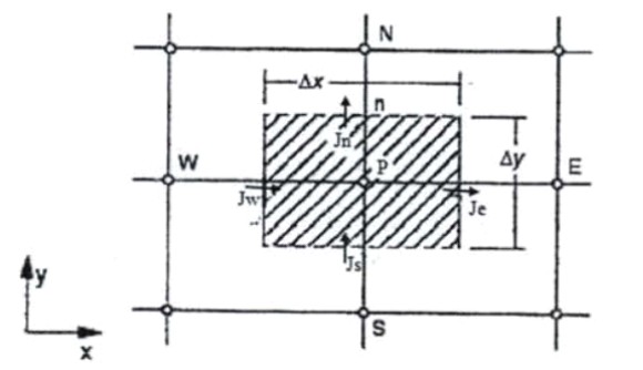
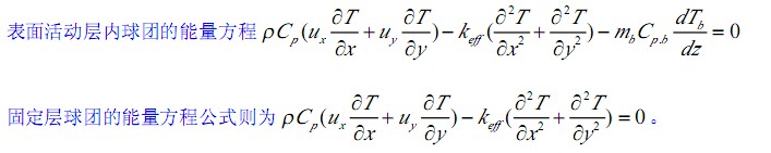
如圖,我們可以參考來製作一個控製容積,由此我們可以獲得回轉窯運轉時各個層麵的能量公式(如下),

同時也可以很好的看出窯對於物料的有效煆燒。
信息由豫暉重工提供:http://f1979.cn
相關文章推薦:容積式泵在回轉窯內的應用